从小白到高手:T细胞高活性培养的实用指南
2026-01-13 14:25 来源:admin 点击:368
“细胞疗法”听起来高大上,实际上,真正参与“战斗”的主力,有很大一部分就是T细胞。像大家熟知的CAR-T疗法、免疫检查点抑制剂,靠的就是这些“免疫壮汉”。那么,如何在实验室中把T细胞“养得又多又猛”,让它们状态好、功能强?这其实是一门既讲科学又拼经验的技术活!本篇文章专门为初学和进阶者准备,集合了最新科研进展和实操诀窍,送上一份通俗易懂的T细胞培养宝典——助你少踩坑,养出好T细胞!01 T细胞究竟是个什么“角色”?
T细胞可以理解为免疫系统里的“特种兵”,遇到病毒、肿瘤等“坏人”,能迅速识别并发起攻击。不仅如此,T细胞还能分化出不同“兵种”——有直接干掉目标的CD8+细胞(杀手T细胞),也有帮忙调节战场环境的CD4+细胞(辅助T细胞)。想让T细胞在体外也保持强大战斗力,科学的“喂养”方法很重要!02 入门五步法:T细胞培养的实用攻略
1. 材料好坏很关键——起始细胞质量
- 优先选择新鲜的静脉外周血,或高质量PBMCs(外周血单核细胞);
- 用CD3/CD28磁珠分选,在高效激活的同时富集T细胞。科普小贴士:获取高纯度的起始T细胞是成功的关键。 杂质细胞(如单核细胞)不仅会竞争营养和空间,还可能分泌抑制性因子,严重影响T细胞的扩增效率、功能活性以及实验结果的可靠性。
2. 培养基&血清:基础底盘不能忽略
常见配方有:
- RPMI 1640 / AIM-V / X-VIVO 15、TexMACS等无血清培养基(成分明确,批次稳定,更适合临床级培养);
- 若使用血清,建议使用10%人AB血清或优质配套血清替代品。
- 血清批次间差异大,要提前验证兼容性,或全面转向无血清培养基;
- 养细胞的环境(CO₂浓度、温度)建议严格设定为37℃、5%CO₂。
T细胞不像NK细胞可以“即兴发挥”,它更像一个需要 “精确指令”和“协同刺激” 的特种兵。其激活通常需要第一信号(TCR识别抗原)和第二信号(如CD28接收共刺激) 共同作用。- CD3/CD28抗体刺激:提供激活的双信号,通常配合磁珠使用,是体外扩增的黄金标准。
IL-2:是T细胞扩增的核心驱动因子。较低浓度(50-100 IU/mL)主要用于维持存活,而较高浓度(300-600 IU/mL)驱动效应分化,但长期使用易导致细胞耗竭。IL-7/IL-15:是塑造长效T细胞的关键。两者联用能显著促进记忆性T细胞的产生与增殖,是获得高持久力T细胞产品的金标准策略。- 扩增过程中,经常补新鲜因子和新培养基,维持细胞浓度基本稳定;
- 通常每2~3天检查一次,细胞密度超过2~3×10⁶/mL时建议分瓶。
5. T细胞亚型调控&稳定性
不同项目需求,会关心不同T细胞亚型:- 想要杀伤力持久,长期存活?重点使用IL-7/IL-15培养记忆型T细胞;
- 想要短期爆发力?CD3/CD28刺激+高剂量IL-2即可;
- 想得到表型纯净的某类T细胞?用磁珠分选或流式分选纯化。
不要过度激活,防止“早衰”;及时清理死亡细胞、换新培养基;密切观察细胞形态和活力。- 低氧培养(如5%氧气)环境更贴近体内生理/病理状态,有助于获得功能更佳的T细胞。
- 确保使用高质量的专用无血清培养基,其成分已为优化。控制培养环境中的乳酸累积对于维持T细胞的功能和持久力至关重要。
- 初级学者建议用CD3/CD28刺激+IL-2为主线;
- 更高阶可用IL-7/IL-15等免疫因子调整亚型比例,优先诱导中央记忆型T细胞(Tcm)、干细胞样T细胞(Tscm)等具有更强自我更新和持久战斗力的亚型。
3. 体外激活不忘体内功能,模拟真实“免疫大环境”- 让T细胞通过基因工程(如CAR-T)或抗原肽脉冲的方式识别特定靶标,获得特异性杀伤能力。
- 使用特异性杀伤实验(如LDH释放法)来检验其功能,确保其在体外练就的“武功”在实战中同样有效。
04 出错速查表:“我的T细胞怎么不听话?”

- 底盘扎实:优质的培养基与精确的细胞因子搭配是健康保障。
- 刺激科学:CD3/CD28激活+细胞因子驱动是实现高效扩增的核心。
- 环境舒适:控制密度、及时传代,别让T细胞“挤着、累着”。
- 目标导向:根据应用目标(快速杀伤vs长期持久)定制培养策略。
养T细胞像养“免疫小将”,需要细心也要有点创新精神。掌握这些实用经验,你也能轻松进阶“高手”行列!希望本指南能帮你少走弯路,把实验做得又快又好!
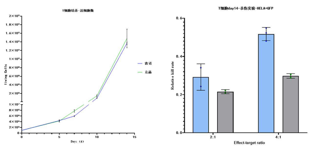
扩增效果良好,杀伤性能优于竞品
杀伤效能明显优于竞品培养液-T,且细胞形态变化更明显(凋亡,空洞状)
T细胞培养液-T细胞day14杀伤检测(HELA+GFP)